所跟帖: ÈüÀ¥ : ˳±ãÒ²¸øµÀÌ⡣ƽÕýÐÖÎÊ¡°¸ßά¼«×ø±ê¡±£¬°³ÎʸßάÇòÌå»ý¡£ 2023-04-09 22:17:22
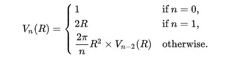
ά»ùÉÏÓÐÏֳɵĴð°¸2023-04-10 01:09:17 [点击:1453]
全部跟贴
[] ¸ßά¿Õ¼äµÄÇéÐγ¬ºõÏëÏó ½Æß [370 b] 2023-04-10 03:24:07 [: 1159] (1461997)
ϵÊýÊÇ2¦Ð/N£¬ËùÒÔ£¬N>=6¾ÍϽµ¡£ ÈüÀ¥ [42 b] 2023-04-10 12:46:40 [: 1106] (1462000)
[] ϱßÁ´½ÓÓиöÍÆµ¼£º ƽÕý [34 b] 2023-04-10 01:22:29 [: 1179] (1461994)
²»´í£¬ÔÒÔΪÇò×ø±êÊÇ×î¼òµ¥·½·¨¡£ ÈüÀ¥ [0 b] 2023-04-10 01:59:29 [: 2054] (1461996)